유리수 지수 문제 풀이 | 근호를 지수로 바꾸어 합구하기-고2대수-260417001

유리수 지수 문제 풀이 | 근호를 지수로 바꾸어 합구하기-고2대수

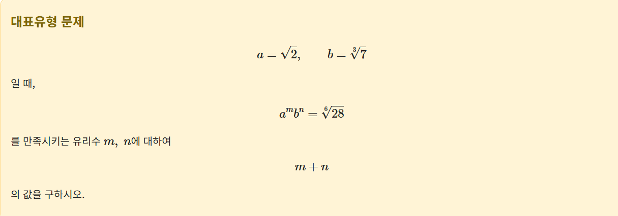
근호를 지수로 바꾸어 \(m+n\) 구하기 – 유리수 지수 문제 완전 정리 근호와 지수가 함께 나오는 문제는 겉으로 보면 복잡해 보이지만, 실제로는 모두 같은 원리로 풀립니다. 핵심은 모든 식을 지수 형태로 통일해서 보는 것입니다. 특히 \(a=\sqrt{2}\), \(b=\sqrt[3]{7}\)처럼 주어진 수를 각각 소인수의 거듭제곱으로 바꾸면, \(a^m b^n\)의 식을 비교하여 \(m\), \(n\)을 한 번에 구할 수 있습니다. 이번 문제는 … 더 읽기

지수법칙과 근호 문제 풀이 – 식을 만족시키는 자연수 구하기-고2-대수-중간고사-260416001

지수법칙과 근호 문제 풀이 – 식을 만족시키는 자연수 구하기-고2-대수-중간고사-260416001

지수법칙과 근호 문제 풀이 – 식을 만족시키는 자연수 \(n\) 구하기 근호가 여러 겹으로 들어 있는 식은 처음 보면 아주 복잡해 보이지만, 결국은 모두 분수지수로 바꾸는 문제입니다. 이런 유형은 하나씩 따로 계산하는 것보다, 각 부분을 \(a\)의 몇 제곱인지 차분하게 정리하는 것이 핵심입니다. 이번 문제도 왼쪽과 오른쪽을 모두 \(a\)의 지수 꼴로 바꾸면, 마지막에는 지수끼리 비교하여 자연수 \(n\)을 … 더 읽기

고2-대수 중간고사 – 분수지수 계산 문제 풀이 – 합차공식으로 곱셈식 간단히 하기-260415002

고2-대수 중간고사 - 분수지수 계산 문제 풀이 - 합차공식으로 곱셈식 간단히 하기-260415002

분수지수가 포함된 곱셈식 간단히 하기 – 지수법칙으로 한 번에 정리하는 방법 분수지수가 여러 개 곱해져 있는 식은 처음 보면 복잡해 보이지만, 실제로는 같은 밑의 지수를 더하고 빼는 문제입니다. 이런 유형은 계산을 하나하나 따로 하려 하지 말고, 공통된 밑을 먼저 찾고 지수법칙으로 묶어서 정리하는 것이 가장 중요합니다. 이번 문제도 \((1+5^2)\)라는 같은 밑이 반복되므로, 지수의 합과 차를 … 더 읽기

근호의 대소 비교 문제 풀이 | 제곱과 변형으로 크기 비교하기-260415001

근호의 대소 비교 문제 풀이 | 제곱과 변형으로 크기 비교하기-260415001

근호가 포함된 수의 대소 비교 문제 풀이 – 제곱과 변형으로 빠르게 비교하기 근호가 들어 있는 수의 크기를 비교하는 문제는 무작정 계산기로 근삿값을 구하려고 하면 오히려 복잡해질 수 있습니다. 이런 유형은 보통 식을 조금 더 간단한 형태로 바꾸거나, 모두 양수일 때 제곱해서 비교하는 방법이 가장 깔끔합니다. 이번 문제도 겉으로는 루트가 여러 번 겹쳐 있어서 어려워 보이지만, … 더 읽기

소인수분해 대표유형 문제 풀이 – 옳은 것만 있는 보기 고르기-260414001

소인수분해 대표유형 문제 풀이 – 옳은 것만 있는 보기 고르기-260414001

소인수분해 대표유형 문제 풀이 – 옳은 것만 있는 보기 고르기 소인수분해 문제는 숫자를 잘 나누는 것보다 끝까지 소수만 남겨서 써야 한다는 원칙을 정확히 아는지가 더 중요합니다. 시험에서는 일부러 거의 맞아 보이는 식을 섞어 놓고, 마지막에 합성수가 남아 있는데도 맞는 것처럼 보이게 만드는 경우가 많습니다. 이번 문제도 각 수를 실제로 소인수분해해 보면서, 어떤 식이 정확하고 어떤 … 더 읽기

거듭제곱의 밑과 지수 문제 풀이 – 반복된 곱셈을 거듭제곱으로 나타내기-260413004

거듭제곱의 밑과 지수 문제 풀이 – 반복된 곱셈을 거듭제곱으로 나타내기 거듭제곱은 초등 수학에서 처음 배우지만, 시험에서는 아주 쉬운 듯 보이면서도 실수가 자주 나오는 단원입니다. 특히 반복된 곱셈을 보고 밑이 무엇인지, 몇 번 곱했는지를 정확히 세어야 합니다. 이번 문제는 계산 자체는 간단하지만, 거듭제곱의 기본 뜻을 정확히 이해했는지 확인하는 대표 유형입니다. 왜 밑과 지수를 그렇게 잡는지까지 차근차근 … 더 읽기

거듭제곱의 역으로 지수 찾기-중1수학-2026년 1학 기 중간고사 대비 -곰쌤수학-260413003

거듭제곱의 역으로 지수 찾기-중1수학-2026년 1학 기 중간고사 대비 -곰쌤수학-260413003

거듭제곱의 역으로 지수 찾기 – \(2^a=64,\;5^2=b\) 유형 완전 정리 지수 문제는 식이 짧아 보여도 개념을 정확히 알아야 실수 없이 풀 수 있습니다. 특히 \(2^a=64\)처럼 “결과를 보고 지수를 찾는 문제”는 거듭제곱의 뜻을 제대로 이해하고 있는지를 묻는 대표 유형입니다. 이번 문제는 계산 자체는 어렵지 않지만, 같은 밑의 거듭제곱을 보고 지수를 빠르게 찾는 법과 문자에 값을 대입해 최종식을 … 더 읽기

2. 소수 개수 구하기 대표유형 – 보기에서 소수만 골라 개수 세기-260413002-곰쌤수학

소수 개수 구하기 대표유형 – 보기에서 소수만 골라 개수 세기 소수 문제는 계산이 어려운 문제가 아니라, 수를 하나씩 차분하게 판별하는 습관이 중요한 단원입니다. 특히 여러 수가 한꺼번에 주어졌을 때는 느낌으로 고르면 실수하기 쉽고, 각 수를 직접 나누어 보면서 합성수인지, 소수인지 확인하는 과정이 꼭 필요합니다. 이번 문제도 보기의 수들을 하나씩 검사하면서 소수가 몇 개인지 정확하게 세어 … 더 읽기

중1수학-약수와 배수 대표유형 문제 풀이 – 옳지 않은 설명 찾기-260413001

중1수학 - 2026년 1학기 중간고사 대비

약수와 배수 대표유형 문제 풀이 – 옳지 않은 설명 찾기 약수와 배수 문제는 초등·중등 수학의 가장 기본 개념이지만, 시험에서는 문장을 살짝 바꾸어 헷갈리게 만드는 경우가 많습니다. 특히 “약수인지”, “배수인지”, “모든 자연수의 배수인지” 같은 표현은 얼핏 비슷해 보여도 뜻이 완전히 다릅니다. 이번 문제는 계산이 복잡한 문제가 아니라, 약수와 배수의 뜻을 정확히 이해하고 있는지를 확인하는 대표 유형입니다. … 더 읽기

1. 거듭제곱근의 성질 문제 풀이 – 옳은 설명만 있는 보기 고르기 – 2026년 대수 중간고사 대비 – 260411001

1. 거듭제곱근의 성질 문제 풀이 – 옳은 설명만 있는 보기 고르기 - 2026년 대수 중간고사 대비 - 260411001

거듭제곱근의 성질 문제 풀이 – 옳은 설명만 있는 보기 고르기 거듭제곱근 문제는 계산보다 개념을 얼마나 정확히 구분하느냐가 더 중요합니다. 특히 제곱근, 세제곱근, 네제곱근처럼 차수가 달라지면 실수의 개수도 달라지고, 양수와 음수에 따라 결론이 완전히 달라집니다. 이번 문제는 이런 성질을 문장으로 묻는 대표 유형으로, 각 보기의 말이 왜 맞는지, 왜 틀리는지를 하나씩 차분하게 따져 보는 것이 핵심입니다. … 더 읽기